【決定版】FIRE達成までの年数は「貯蓄率」から計算できる【がっつり数学】

早期リタイア
この記事は約1分で読めます。
スポンサーリンク

結論:FIRE達成年数の計算式を公開します!

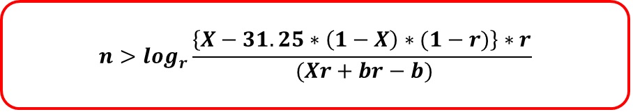
サイドFIREとフルFIREにかかる年数は以下の式で計算できます。

式の導出に興味がない方は(いや、ないだろ)、

下の計算式を使って達成年数を計算してみてください。

サイドFIRE達成年数の計算式

フルFIRE達成年数の計算式

次のページ ⇒ 計算式の中身について(興味があれば)

【お知らせ】中小企業様・フリーランス様向け、営業代行サービス

営業ターゲットリスト・営業文作成・DM送信のすべて丸投げ
反響のあった見込み客との商談に集中できるよう、サポートさせてください。

早期リタイア
ヨスケをフォローする
タイトルとURLをコピーしました